BIOLOGÍA Y GEOLOGÍA

METABOLISMO

2.

CATABOLISMO DE LOS GLÚCIDOS

Los glúcidos son las biomoléculas más utilizadas para obtener energía en los seres vivos. De ellas la principal es la glucosa. Los animales obtienen la glucosa por degradación del glucógeno del hígado o del de sus reservas citoplasmáticas.

2.1. GLUCOGENOLISIS

La degradación del glucógeno o glucogenolisis tiene lugar en el citosol. Allí, la enzima glucógeno fosforilasa introduce grupos fosfato en los extremos no reductores del glucógeno, liberando moléculas de glucosa- 1-fosfato. Éstas se incorporarán a la glucólisis previa transformación en glucosa-6-fosfato.

2.2. FERMENTACIÓN Y RESPIRACIÓN

La glucosa comienza su degradación en el proceso de la glucólisis, en el citoplasma. Se obtienen dos moléculas de ácido pirúvico, 2 ATP y 2 NADH. El destino del pirúvico dependerá del tipo de célula y de la disponibilidad de oxígeno, pudiendo darse fermentación o respiración. Fermentación de la glucosa: es una oxidación parcial, en el citosol, en la que el pirúvico no entra en el ciclo de Krebs y los aceptores finales de los electrones y protones del NADH son moléculas orgánicas que también se forman en la glucólisis: ácido pirúvico, acetaldehído,... Respiración de la glucosa: es una oxidación total en la que los aceptores de protones y electrones son moléculas inorgánicas, lo que distingue a: La respiración aerobia: se da en la mitocondria. El pirúvico se oxida hasta CO 2 mediante la descarboxilación oxidativa y el ciclo de Krebs. El aceptor final de electrones y protones es el oxígeno molecular (O 2 ), que se reduce a H 2 O. C 6 H 12 O 6 (s) + 6 O 2 (g) 6 CO 2 (g) + 6 H 2 O (l) + calor ΔG = −2880 kJ por mol de C 6 H 12 O 6 La respiración anaerobia: exclusiva de ciertos microorganismos. El pirúvico se oxida a CO 2 por rutas diversas. Los aceptores finales de electrones y protones son sustancias inorgánicas variadas: NO 3 - NO 2 - o NH 3 o N 2 ; SO 4 2- S o H 2 S; CO 2 CH 4 ; H + H 2 ; etc.

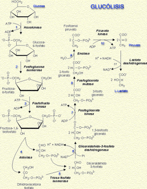
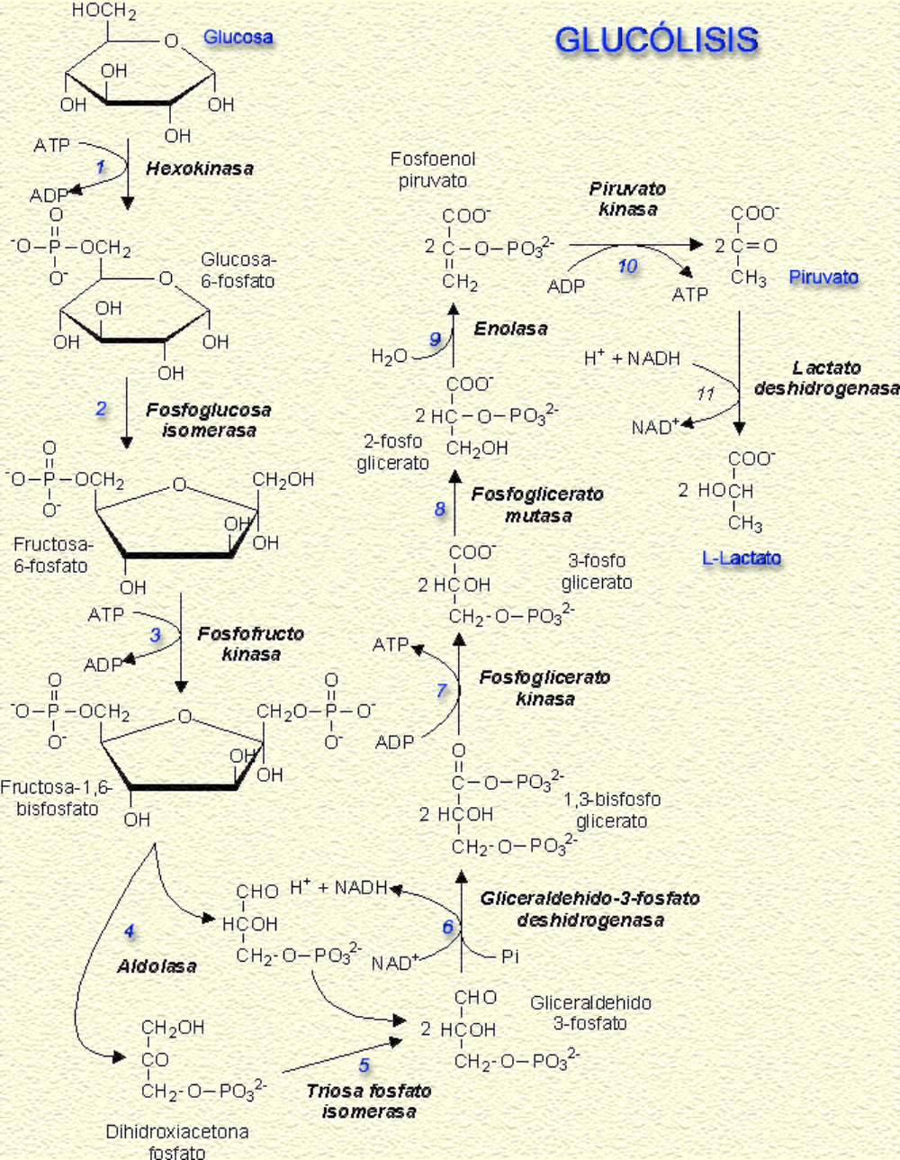
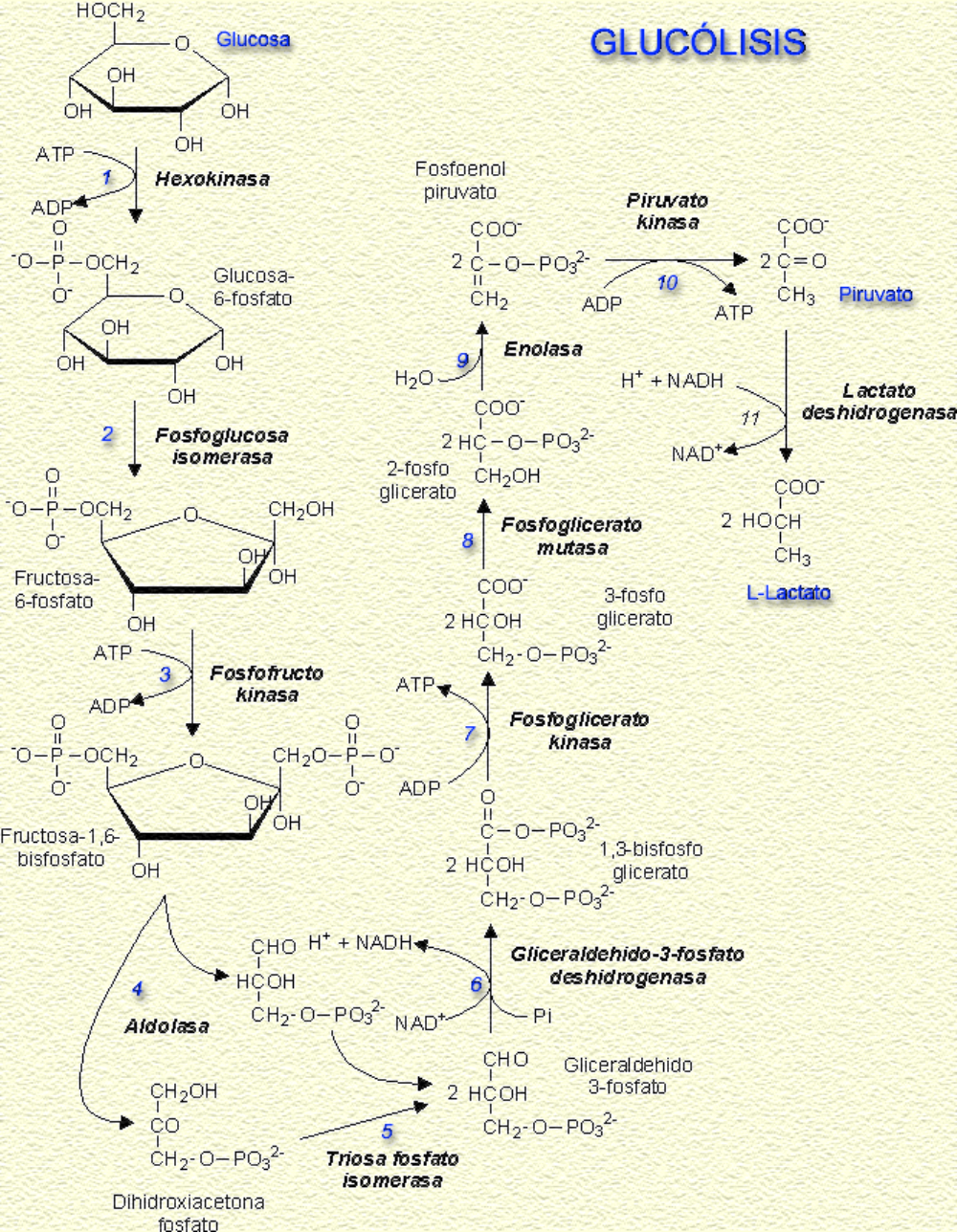
2.3. GLUCÓLISIS O RUTA DE EMBDEN-MEYERHOF

La glucólisis es una ruta metabólica de 10 reacciones mediante la que una molécula de glucosa es oxidada, mediante fosforilación a nivel de sustrato, hasta formar 2 moléculas de ácido pirúvico, obteniéndose 2 ATP y poder reductor (2 NADH). Las reacciones 1, 3 y 10 son irreversibles. Se puede dividir en tres fases: Fase de preparación: son 5 reacciones en las que la molécula de glucosa se rompe en dos de gliceraldehído-3-fosfato, con gasto de 2 ATP. G G-6-P F-6-P F-1,6-biP DHAP + G-3-P 2 (G-3-P) Fase de oxidación: las moléculas de G-3-P son oxidadas por la coenzima NAD + para formar ácido 1,3 bifosfoglicérico y NADH. 2 (G-3-P) 2 (1,3-biPGli) Fase de fosforilación: las 2 moléculas de ácido 1,3 bifosfoglicérico se transforman en ácido pirúvico, obteniendo 2 ATP. 2 (1,3-biPGli) 2 (3-PGli) 2 (2-PGli) 2 PEP 2 Piruvato El balance total de la glucólisis es, por tanto, de 2 ATP, 2 NADH, 2 H 2 O y 2 piruvatos. Glucosa + 2 NAD + + 2 P i + 2 ADP 2 piruvato + 2 NADH + 2 ATP + 2 H + + 2 H 2 O + calor

2.4 FERMENTACIÓN DE LA GLUCOSA

Las fermentaciones de la glucosa son oxidaciones parciales, sin necesidad de oxígeno, en las que los electrones de la glucosa pasan al NADH y, finalmente, a moléculas orgánicas sencillas. Estas moléculas se forman en la propia glucólisis (piruvato o derivado), por lo que el rendimiento energético es pequeño: 2 ATP. Al final se recupera el NAD + para poder seguir la glucólisis. Existen numerosos tipos de fermentaciones, destacando la láctica y la alcohólica. FERMENTACIÓN LÁCTICA El último aceptor de electrones es el propio ácido pirúvico, que los toma del NADH, dando de nuevo NAD + y se reduce a ácido láctico. La fermentación láctica es típica de: Microorganismos de la leche: Lactobacillus bulgaricus y Lactobacillus (Streptococcus) casei utilizan la lactosa para obtener energía. Es la base de la producción de derivados lácteos: yogur, queso, kéfir, kombucha, ... Células musculares: cuando el músculo realiza un trabajo muy intenso, el oxígeno aportado es insuficiente para realizar el ciclo de Krebs, por lo que trabaja en condiciones anaerobias, realiza fermentación y produce ácido láctico, dando fatiga muscular. El láctico acumulado se oxidará posteriormente cuando haya suficiente oxígeno. FERMENTACIÓN ALCOHÓLICA Típica de levaduras del género Saccharomyces. El ácido pirúvico se transformará en dióxido de carbono y etanol en dos etapas: Descarboxilación del ácido pirúvico: cada pirúvico libera un CO 2 , originando dos moléculas de acetaldehído. Reducción del acetaldehído: los acetaldehídos actúan como receptores finales de electrones, reduciéndose a etanol, oxidando al NADH que vuelve a regenerar NAD + . En la fabricación de vino, el etanol procede de la glucosa de la uva. Intervienen muchos factores como el tipo de uva, temperatura, variedad de levadura, etc. En la cerveza el etanol procede de la glucosa de la cebada y otros cereales. El almidón debe germinarse previamente, dando maltosa, cuyo tostado origina malta, sobre la que actuará la levadura Saccharomyces cerevisiae. La destilación de la cerveza origina el güisqui.

2.5. RESPIRACIÓN AEROBIA DE LA GLUCOSA

Permite obtener toda la energía de la glucosa gracias a su oxidación total mediante una serie de etapas: glucólisis, descarboxilación oxidativa, ciclo de Krebs, transporte de electrones y fosforilación oxidativa. DESCARBOXILACIÓN OXIDATIVA DEL ÁCIDO PIRÚVICO El pirúvico de la glucólisis entra en la matriz de la mitocondria. Allí, gracias a la enzima piruvato deshidrogenasa, pierde CO 2 (descarboxilación), es oxidado y se transfiere a una molécula de coenzima A (HS-CoA) para formar acetil-CoA. Los electrones liberados son recogidos por el NAD + , que se reduce a NADH. CICLO DE KREBS Ciclo del ácido cítrico o ciclo de los ácidos tricarboxílicos (CAT o TCA). Conjunto de reacciones que oxidan completamente los dos átomos de carbono del acétil-CoA hasta CO 2 . El acetil-CoA que inicia el ciclo puede proceder de la oxidación de la glucosa, de los ácidos grasos o de los aminoácidos. No se precisa O 2 . Por cada acétil-CoA oxidado se forman 3 NADH, 1 FADH 2 y 1 GTP (=ATP). El ciclo de Krebs transcurre en la matriz mitocondrial, donde están todas las enzimas necesarias, salvo la succinato deshidrogenasa, inserta en la membrana interna. Sus etapas son: 1. El acetil-CoA transfiere su grupo acetilo a una molécula de ácido oxalacético, dando ácido cítrico y liberando el CoA. Enzima: citrato sintetasa. 2. El cítrico pasa a isocítrico a través de un intermediario (ácido cis-aconítico). Enzima: aconitasa. 3. El isocitrato sufre descarboxilación oxidativa: pierde CO 2 y se oxida (NAD + -> NADH + H + ), dando α-cetoglutárico. Enzima: isocitrato deshidrogenasa. 4. El α-cetoglutárico sufre descarboxilación oxidativa: pierde CO 2 y se oxida (NAD + -> NADH + H + ). La reacción libera energía, aprovechada para formar un enlace tioéster rico en energía con una molécula de CoA, dando succinil-CoA. Enzima: α- cetoglutarato deshidrogenasa. 5. El succinil-CoA se rompe en ácido succínico y CoA. La reacción libera energía suficiente para formar GTP a partir de GDP y ácido fosfórico (fosforilación a nivel de sustrato). Enzima: succinato tioquinasa. 6. El succínico se oxida a fumárico (FAD -> FADH 2 ). Enzima: succinato deshidrogenasa (en la membrana interna, no en la matriz). 7. El fumárico se hidrata a málico. Enzima: fumarasa. 8. El málico sufre una deshidrogenación (NAD + -> NADH + H + ) y se convierte en oxalacético, cerrando el ciclo. Enzima: malato deshidrogenasa. CADENA TRANSPORTADORA DE ELECTRONES O CADENA RESPIRATORIA Conjunto de reacciones que llevan los electrones desde el NADH y el FADH 2 hasta el O 2 que, junto a los H + , formará agua. Los coenzimas NADH y FADH 2 formados en el ciclo de Krebs contienen la mayor parte de la energía química de la glucosa original. Para que los procesos oxidativos no se detengan estas enzimas deben volver a oxidarse, cediendo los electrones captados y liberando energía. En la cadena respiratoria, los e- fluyen a favor del potencial de óxido- reducción, desde las coenzimas reducidas NADH y FADH 2 hasta el O 2 . Consta de 4 complejos multiproteicos: 1. Complejo I (NADH deshidrogenasa): un par de electrones del NADH pasan al coenzima Q (CoQ) mediante el nucleótido FMN y centros Fe-S. 2. Complejo II (succinato deshidrogenasa): incluye a la enzima que oxida el succínico en el ciclo de Krebs. Pasa los electrones de la FADH 2 al CoQ. 3. Complejo III (citocromo b-c 1 ): los electrones pasan del CoQ al citocromo b y de éste a los citocromos c 1 y c. 4. Complejo IV (citocromo oxidasa): contienen los citocromos a y a 3 , con iones Cu. Recoge los electrones del citocromo c y, a través de a y a 3 , los lleva al O 2 , que se une a 2 protones (H + ) de la matriz para dar H 2 O. FOSFORILACIÓN OXIDATIVA Según la hipótesis quimiosmótica (Peter Mitchell, 1961), la energía liberada en el transporte de electrones se emplea para bombear protones desde la matriz al espacio intermembranoso. La fosforilación oxidativa es un proceso de síntesis de ATP gracias a la fuerza protón-motriz, la entrada de protones en la matriz a favor de gradiente. La síntesis de ATP la realiza la ATP sintetasa, enzima con una parte F 0 que atraviesa la bicapa lipídica y forma un canal de protones; y una parte F 1 , con forma de pomo y actividad ATPasa. Según la hipótesis más aceptada, el paso de protones a favor de gradiente por F 0 origina un movimiento rotatorio en F 1 que produce el ATP: catálisis rotacional. Dado que el bombeo de protones se produce en los complejos I, III y IV, cada molécula de NADH produce un ATP más que las de FADH 2 . BALANCE ENERGÉTICO DEL CATABOLISMO DE LA GLUCOSA Fermentaciones: las únicas moléculas de ATP formadas son las generadas por fosforilación a nivel de sustrato en la glucólisis: 2 ATP. Respiración aerobia: en teoría, una molécula de glucosa podría producir hasta 38 moléculas de ATP: Sin embargo, la entrada del piruvato y el NADH, así como del ADP y el fosfórico a la mitocondria, conlleva gasto energético, por lo que se calcula que por cada NADH se obtienen 2,5 ATP en lugar de 3; y por cada FADH 2 serían 1,5 ATP. Así, el balance real sería de 30 o 32 ATP por glucosa.

3. CATABOLISMO DE LÍPIDOS

Los lípidos desempeñan muchas funciones en la célula, una de las cuales es la de suministrar energía, sobre todo a partir de triglicéridos. Los triglicéridos sufren una lipólisis, una hidrólisis que produce glicerina y ácidos grasos. La glicerina entrará directamente en la glucólisis. Los ácidos grasos se activarán añadiéndoles CoA, formando un acil graso CoA. Luego, estos sufrirán una ß-oxidación en las mitocondrias (células animales) o en los peroxisomas (células animales y vegetales). La ß-oxidación de los ácidos grasos dará lugar a moléculas de acetil- CoA, que seguirán la ruta del ciclo de Krebs. Los ácidos grasos son mucho más energéticos que la glucosa: 1 palmítico (16 C) produce unos 140 ATP (106 con datos más realistas).

4. CATABOLISMO DE PROTEÍNAS

Las proteínas sólo se emplean como combustible en casos de ayuno prolongado. En primer lugar sufren proteolisis en los lisosomas o proteosomas, dando aminoácidos. Los aminoácidos pasan por diferentes rutas metabólicas específicas, en las que pierden el grupo amino y se convierten en pirúvico o en acetil- CoA, entrando en el ciclo de Krebs. Los grupos amino se eliminarán con la orina como diferentes compuestos nitrogenados.
Para ir a donde no se sabe hay que ir por donde no se sabe.” San Juan de la Cruz “It must be a strange world not being a scientist, going through life not knowing--or maybe not caring about where the air came from, where the stars at night came from or how far they are from us. I WANT TO KNOW” Michio Kaku “Nullius in verba” Robert Boyle, Christopher Wren y Robert Hooke
Mas100cia @Mas100Cia