Mas100cia @Mas100Cia

LA NATURALEZA BÁSICA DE LA VIDA

BIOLOGÍA Y GEOLOGÍA

6. LOS GLÚCIDOS

Llamados también hidratos de carbono o carbohidratos. Son moléculas formadas por C, H y O. Su fórmula general es C n H 2n O n . Como el O y el H están en proporción 2:1, se pensó que eran compuestos hidratados, de donde proviene su nombre, aunque no lo son. De hecho, se han descubierto muchos que no responden a esta fórmula. Actualmente comprenden polihidroxialdehídos, polihidroxicetonas, alcoholes, ácidos, aminas, sus derivados y los compuestos obtenidos por combinación de cualquiera de ellos entre sí o con otras moléculas mediante enlaces glucosídicos.

CLASIFICACIÓN

Se basa en la complejidad estructural y en el tipo de moléculas que los forman.

Monosacáridos u osas

Los más simples. Fórmula C

n

H

2n

O

n

, 3 a 9 átomos de C.

Dulces (azúcares), cristalizables y solubles en agua.

Formados por una única molécula con un grupo aldehído

(polihidroxialdehídos) o cetona (polihidroxicetonas). Los más

importantes tienen 3 (triosas), 4 (tetrosas), 5 (pentosas) y 6

(hexosas) átomos de C. Las pentosas y hexosas pueden

ciclar en disolución.

Ejemplos: Triosas: Gliceraldehído, dihidroxicetona (moléculas del metabolismo intermediario). Tetrosas: eritrosa, eritrulosa (moléculas del metabolismo intermediario). Pentosas: ribosa (ARN), desoxirribosa (ADN), ribulosa (molécula intermediaria de la fotosíntesis). Hexosas: glucosa, galactosa, fructosa (obtención de energía).

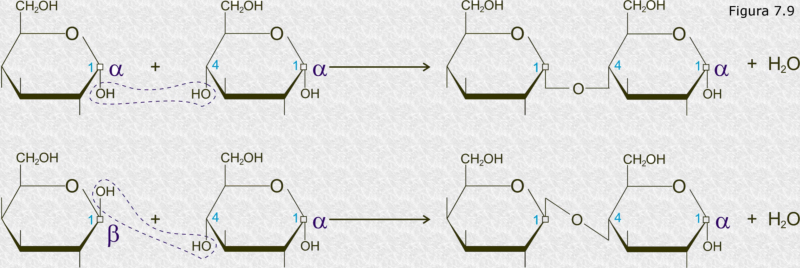
Ósidos

Formados por la unión de dos o más monosacáridos, unidos por enlaces de tipo glucosídico. Este enlace se produce entre los –OH de dos monosacáridos, con pérdida de una molécula de agua. Los ósidos pueden estar formados por unos pocos monosacáridos (oligosacáridos) o por muchos de ellos (polisacáridos). a. Oligosacáridos: siguen siendo azúcares, ya que son dulces, solubles y cristalizables. Los más importantes son los disacáridos, formados por la unión de 2 monosacáridos. Lactosa: (galactosa + glucosa). Es el azúcar de la leche. Maltosa: (glucosa + glucosa), Azúcar de malta (se obtiene del almidón: cerveza, sucedáneo de café). Sacarosa o sucrosa: (glucosa + fructosa). Azúcar de caña o remolacha. b. Polisacáridos: son glúcidos ósidos formados por la unión de muchos monosacáridos, incluso miles de ellos. No son azúcares, ya que no son dulces, ni solubles. Pueden formar cadenas lineales (celulosa, quitina) o ramificadas (almidón, glucógeno). Quitina: polímero lineal de N-acetil- glucosamina. Forma el exoesqueleto de insectos, caparazón de crustáceos (con CO3Ca), quetas y mandíbulas de anélidos. Celulosa: polímero lineal formado por glucosas. Forma parte de la pared de las células vegetales. Almidón: polímero ramificado formado por glucosas. Glúcido de reserva en vegetales (tubérculos, bulbos, semillas…) Glucógeno: polímero ramificado formado por glucosas. Glúcido de reserva en animales (hígado y músculo estriado).

FUNCIONES DE LOS GLÚCIDOS

Combustible celular: La glucosa es el compuesto más utilizado por las células como fuente de energía. Almacén de reserva energética: almidón en vegetales y glucógeno en animales. Estructural: ribosa y desoxirribosa en ácidos nucleicos; celulosa en paredes vegetales; quitina en animales y hongos…
BG1BTO BG1BTO
Para ir a donde no se sabe hay que ir por donde no se sabe.” San Juan de la Cruz “It must be a strange world not being a scientist, going through life not knowing--or maybe not caring about where the air came from, where the stars at night came from or how far they are from us. I WANT TO KNOW” Michio Kaku “Nullius in verba” Robert Boyle, Christopher Wren y Robert Hooke
Este es uno de los momentos más increíbles de la medicina. En 1922, en la Universidad de Toronto, los científicos fueron a una sala de hospital con niños que estaban en coma y que morían de cetoacidosis diabética. Imagine una habitación llena de padres sentados junto a la cama esperando la muerte inevitable de su hijo. Los científicos fueron de cama en cama e inyectaron a los niños el nuevo extracto purificado: insulina. Cuando comenzaron a inyectar al último niño en coma, el primer niño inyectado comenzó a despertar. Uno por uno, todos los niños se despertaron de sus comas diabéticos. Una sala de muerte y tristeza, se convirtió en un lugar de alegría y esperanza. ¡Gracias Dr. Banting y Dr. Best!

1º BTO